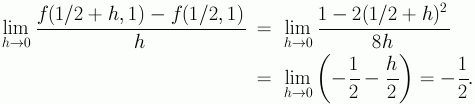
Consider the function
at the point (1/2, 1). We calculate the
following limits



These partial derivatives are calculated in the same way as derivatives are calculated for functions of a single variable with the exception that we treat the other variable as a constant.
The following example shows this
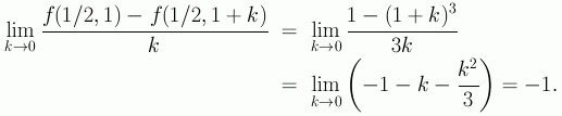
f(x, y) = x cos(xy)Other Notations
fx = cos(xy) + x (sin(xy) y) = cos(xy) xy sin(xy)
fy = x (sin(xy) x) = x2 sin(xy)
Below is the graph of the function f(x, y) = x e( x2 y2) and following that are the graphs of fx and fy. Can you tell which is which?

![]() |
![]() |
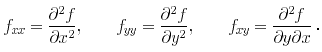
There are higher order derivatives these have the notations

It should come as no surprise that if the partial derivatives are all continuous then fxy = fyx. Below are the graphs of fxx, fyy, and fxy for the function f(x, y) = x e( x2 y2)
| fxx | fyy |
|---|---|
![]() |
![]() |
| fxy |
|---|
![]() |